
电流模式控制倍流整流器ZVS PWM全桥DC-DC变换器的研究
1、引言
2、改进型移相全桥ZVS DC-DC变换器主电路
改进型移相全桥ZVS DC-DC变换器主电路结构和各点波形对照如下图2-1(a)和(b)所示:


容易看出改进型的电路拓扑与基本型电路的主要差别在于副边整流电路,该整流电路被称为倍流整流器(Current-Doubler RecTIfier,CDR),是目前应用的热点之一。下面首先介绍一下该整流电路。与全波整流相比,倍流整流器的高频变压器副边绕组仅需一个单一绕组,不用中心抽头。与桥式整流相比,倍流整流器使用的二极管数量少一半。所以说,倍流整流器是结合全波整流和桥式整流两者优点的新型整流器。当然,倍流整流器要多使用一个输出小滤波电感。但此电感的工作频率及输送电流均比全波整流器的要小一半,因此可做得较小,另外双电感也更适合于分布式功率耗散的要求。
以下我们来研究一下改变整流电路后变换器主电路的工作状况有什么不同。
由于电路工作状态在一个周期内可以分为两个完全一样的过程,所以以下仅仅分析半个周期的情况,而这半个周期又可分为以下三种开关模态(对照上图2-1所示)。
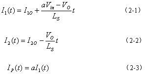
(1). 开关模态 1: t0 < t < t1 其中t1=DTs/2
此时Q1和Q4同时导通,变压器副边电感L1和整流管DS2 导通, 原边能量向负载端传递。此模态的等效电路如下图2-2:

其中,a为变压器变比,Vin是直流母线电压,I1和I2分别是电感L1和 L2电流(L1=L2=Ls),此时有如下等式成立:

当Q4关断时该模态过程结束。
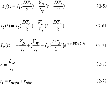
(2).开关模态 2 : t1 < t < t2 其中t2≤Ts/2
在t1时刻关断Q4 ,此时副边电感L1中储存的能量给Q4电容(或并联电容)充电同时将Q3两端电容电荷放掉。为了实现软开关,Q4关断和Q3开通之间至少要存在一死区时间Δt1, 使得在Q3开通前D3首先导通,且有等式:
成立。其中Ceff 是开关管漏源两端等效电容,Ip1为 t1时刻变压器原边流过电流。当D3导通后,变压器副边两个二极管DS1 和DS2同时导通,电路工作在续流状态。此时等效电路如下图2-3所示:

此时有如下电路方程成立:

其中D为脉冲占空比,fS为电路工作频率,L'ik为主边变压器漏感(或与外接电感的串联值),rt是变压器原边等效电阻,τ是原边等效电流衰减时间常数,Vfp是反并联二极管导通压降。
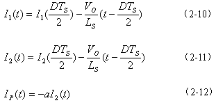
(3). 开关模态3: t2 < t < t3 其中t3=Ts/2
处于该模态时,电路原边导通情况与以上的模态2一致。此时由于换流过程结束,DS2关断。所以等效电路如下图2-4所示:

此时有电路方程如下:

Q1关断后,D2 和D3将导通,这时候就可以给Q2和Q3以开通触发信号了,当电流反向后,Q2,Q3导通,能量再次从原边传递到副边,于是Q2,Q3都是零电压开通。
由于对称性,剩下的半个周期的工作状况与以上完全相同。
由此可以得到负载端输出电压:
注意它与一般的全波整流电路之间的1/2倍的关系。
由工作原理可以得到如下结论:
(1). 超前臂开关管和滞后臂开关管的ZVS都利用了次级输出滤波电感的能量来实现,因此串联在原边的电感值可以大大减小(甚至可以不需要串联电感,只用变压器的原边漏感)。
(2). 软开关实现时能量由副边电感和原边电感共同提供,因此可以在较宽的负载范围内实现ZVS。
(3). 超前臂开关管和滞后臂开关管实现软开关ZVS的条件没有基本型电路苛刻,并且由于副边电感的影响,它们之间的软开关实现条件的差异较之基本型电路大大减小。
3、变换器控制电路设计
该控制系统通过采集原边母线电流、副边侧输出电压来构成两个控制闭环:电流内环和电压外环,原理框图如下图3-1所示。UCC3895是美国TI公司生产的一种高性能电流/电压移相PWM控制器。它是UC3875(79)的改进型;它最适合于移相全桥电路,同时配合零电压开关工作以实现在高频时的局部软开关性能。它除了具有UC3875(79)的功能外,最大的改进是增加了自适应死区设置,以适应负载变化时不同的准谐振软开关要求。同时由于它采用了BCDMOS工艺,使得它的功耗更小,工作频率更高。
从原理框图可以清楚的看出:原边母线电流通过电流互感器隔离采集得到,该信号再通过滤波以及斜坡补偿电路后得到电流控制信号;而输出电压信号经过TL431调节后经过光耦隔离,再与设定电压参考值比较得到电压控制信号。电流和电压控制信号输入移相PWM控制器UCC3895后经由芯片内部比较器以及脉冲产生电路得到四路PWM控制信号,但是有一点必须注意,那就是UCC3895的驱动能力很弱,所以必须将这些控制信号加以功率放大并隔离,然后才能驱动主电路的两个桥臂中的开关管。其中,采用母线电流的好处是它能反映同一桥臂上下开关管的贯通情况,从而为开关管的保护电路提供一定的依据。另外,该方案成功与否的关键就是斜坡补偿电路以及隔离驱动电路

4、实用电路分析
图4-1所示为实际采用的主电路图,其中滤波和EMI部分主要简单考虑了串模和共模干扰的处理。整流桥最大流过电流10A,并加一保险丝防止大的事故出现。R1和R2组成直流母线电压检测分压器,得到的电压信号经过控制和逻辑电路后,一路直接给母线软起动电路的固体继电器SSR,另外一路给控制芯片的软起动控制电路SS(Soft Start)部分来控制UCC3895的软起动,并且这两路软起动之间的延迟时间是可通过电路参数调节的。C5和C6都是电解电容,其值2200uF。CS是母线电流互感器,通过检测母线电流信号,再与芯片内部振荡器输出的Ct端电压信号通过一定比例的叠加,可以得到斜坡补偿的电流信号;同时该电流检测电路还能起到逐个脉冲(Pulse by Pulse)的过流保护功能,并可以防止同一桥臂上下管同时导通。Ch是高频无感电容,大小为0.033uF, 由于电路的工作频率较高,所以在电路的设计中将它尽可能的靠近电流互感器和地连接。Q1-Q4 为主开关管,图中其并联二极管是其内部等效表示,电容可以是外接电容。Ls是谐振电感,其值10uH,Tr是主变压器,变比为1:1, DS1,DS2, Lf1, Lf2组成倍流整流器的副边。C7, C8是电解电容,它们的大小皆为2200uF, C9为高频无感电容大小为1uF 。

250V直流电压输入时(其中负载电阻为10.7Ω,电路工作频率均为100KHz。):软开捅时开关管G、E两端电压(波形1)和C、E两端电压(波形2)波形


由以上两图(a)和(b)可以看出:在开关管C、E两端电压降为零(反并联二极管在此之前导通)之后100-200ns栅极驱动电压才上升到栅平台值(6V左右),此时开关管才开始导通,所以它们是零电压开通的。同时注意:超前桥臂和滞后桥臂的软开通有一定差别,具体说来就是超前臂比较容易实现软开通一些,所以在相同条件下它的软开通效果较为明显。
5、结语
该电路设计方案是切实可行的,它结合了电流模式控制、移相PWM控制、倍流整流器电路、最新驱动芯片以及专门设计的开关器件的一些优点:
(1). 从实验波形来看,变换器的超前与滞后桥臂开关器件均能很好的实现零电压软开关,并且零电压软开关的实现条件以及两个桥臂软开关的差异也比基本型电路小。除此之外,采用倍流整流器电路后,变换器的设计也更加简单化:比如主变压器的副边只需要单一绕组,而不是像全波整流那样需要引入中心抽头;而且副边电感量的大幅减小也使得电感的设计更加方便。
(2). 采用电流模式控制能带来一系列的好处。比如在防止变压器磁芯饱和方面、能够很简单的提供逐脉冲限流控制以及保证倍流整流器副边电感电流的平衡方面,它都有着电压模式控制无法比拟的优点。
(3). 高速大电流驱动芯片使得驱动电路的设计更加简单可靠。
欢迎分享,转载请注明来源:内存溢出
微信扫一扫
支付宝扫一扫
评论列表(0条)