
遗传算法和扰动观察法实现的MPPT算法
在所有可再生能源利用中,光伏发电无疑是最有发展前景的。但是,光伏发电系统的一个主要缺点是它的输出功率受天气情况影响严重,如光照强度和环境温度的改变都会使它发生变化。太阳能电池阵列的最大功率点跟踪就是使太阳能电池阵列的工作点能随外界环境做出适当调整,达到任何时刻都能输出最大功率的目的。
遗传算法(GA)是一类以Darwin自然进化论与Mendel遗传变异理论为基础的求解全局优化问题的仿生型算法。把遗传算法应用于最大功率点跟踪中,可以使逆变器克服外界环境的剧烈变化造成的干扰,迅速搜索到最大功率点。但是,由于遗传算法搜索到最大功率点后,并不能稳定地工作于最大功率点,所以在此使用扰动观察法作为最大功率点附近的搜索算法。
1 太阳能电池模型
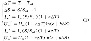
考虑到温度和太阳辐射强度改变的影响,苏建徽等提出了一种硅太阳电池工程用数学模型如下:
式中:I为太阳能电池的输出电流;U为太阳能电池的输出电压;Isc为太阳能电池的短路电流;Uoc为太阳能电池的开路电压;Im为太阳能电池输出最大功率时的输出电流;Um为太阳能电池输出最大功率时的输出电压。
目前太阳能电池的制造商都会给出太阳能电池在标准状况下(25℃@1 000 W/m2)的Isc,Uoc,Im,Um。在实际应用中,应该根据下式调整这些参数:
通常a=0.002 5;b=0.5;c=0.002 88。苏建徽等对大量太阳能电池进行实验,结果证明这些补偿方法的应用可以保证模型与实际情况的误差小于6%,因此这个模型可以应用于太阳能电池的MPPT仿真。根据这个模型,太阳能电池的特性曲线如图1所示。
2 Boost变换器模型
在此采用Boost变换器作为前级DC-DC变换器,其拓扑结构如图2所示。
杨海柱等通过对Boost变换器的状态空间模型进行线性化处理后,得到式(2)所示的模型:
因此,太阳能电池的工作点可以通过调节占空比D来控制。实际上,光伏系统的最大功率点跟踪就是通过调节DC-DC变换器的占空比D,使外电路阻抗和太阳能电池的阻抗匹配。
3 遗传算法
3.1 优化变量选择及编码
通过前文分析,该系统的优化变量确定为Boost变换器的占空比D。因为D只能在0和1之间变化,所以采用搜索空间限定法处理约束条件。这里采用格雷码描述个体的基因。格雷码的优点是能使表现型相近的个体,其基因型(格雷码)也相近,从而克服自然二进制码所形成的“峭壁”。
假设格雷码为gngn-1…g2g1,那么格雷码的解码 *** 作可以根据如下过程进行:
(1)格雷码gngn-1…g2g1转换为自然二进制码bnbn-1…b2b1:

(2)自然二进制码bnbn-1…b2b1转换为表现型x:
3.2 适应度函数的定义
在此采用式(3)所示的适应度函数,并定义Cmax=2 500。
3.3 选择 *** 作
本文使用基于排序的适应度分配算法,种群按目标进行排序,个体的适应度仅取决于个体在种群中的位序,而不是实际的目标值。Blickle T的研究表明排序算法克服了按比例适应度计算的尺度问题,以及选择导致搜索带迅速变窄而产生的过早收敛,从而具有更好的鲁棒性。
这里将一个种群中的Nind个个体按适应度函数值从小到大排序,并取分布概率为:
Pi=2i/[Nind(Nind+1)], i∈[1,x]
根据已经计算出的个体概率,采用随机遍历抽样的的方法进行选择。该方法提供了零偏差和最小个体扩展,具有比轮盘赌算法更优越的性能。假设Nselect为需要选择的个体数目,按照等距离选择个体,选择指针的距离为1/Nselect,而第一个指针的位置由[0,1/Nselect]区间内的均匀随机数决定。
3.4 交叉 *** 作
交叉 *** 作是遗传算法的重要步骤,它的目的在于产生新的基因组,同时也能有效地限制遗传信息的丢失。Syswerda等提出了均匀交叉算子,并把它和单双点交叉算子进行了函数优化实验对比,最后认为均匀交叉优于单双点交叉。
均匀交叉需要通过四步实现:
(1)根据交叉概率Pc随机生成交叉池;
(2)在交叉池中随机选择两个个体配对;
(3)随机产生一个与个体编码串等长的屏蔽字W=wd…wi…w2w1。其中d是编码串长度;
(4)若wi=1,则两个父代个体的第i位交叉,否则不交叉。
3.5 变异 *** 作
Deb等研究了交叉概率Pc和变异率Pm的相互作用对遗传算法的影响,结果表明交叉概率Pc对遗传算法性能的影响远比变异率Pm小。因此选用适当的变异率极其重要。在一般遗传算法中,种群使用的是固定的全局变异率,而且为了降低变异算子对模式的破坏作用,变异率一般都很小(小于0.1)。然而种群中的不同个体对整体进化的作用是不同的,优良个体之间的基因重组是群体进化的决定性力量,较差个体在种群中是一个不断被淘汰的过程。因此,应该对种群中的不同个体采用不同的变异率:一方面使种群中的优良个体具有较小的变异率,从而能够得到较好的保持,并通过交叉重组进行优良模式的累积;另一方面,种群中较差的个体能够通过较大的变异率增强种群的探索能力。
基于以上思想,在此采用如下变异率:
式中:Pmi表示第i个个体的变异率;Pmean表示具有群体的平均适应度的个体所具有的变异率;Pmax表示具有群体的最大适应度的个体所应增加的变异率;Fit(i)表示第i个个体的适应度。
3.6 精英个体保留策略
为了提高全局寻优能力和收敛速度,本文采用保留精英个体的方法,即保留优化过程中每一代适应度值最高的个体,直接复制到下一代。
4 扰动观察法与遗传算法双模控制
4.1 扰动观察法
从图1可以看出光伏电池的输出功率具有式(4)所示的特性:
扰动观察法就是根据光伏电池的这一特性而提出来的。扰动观察法具有简单实用的优点,但是它在控制过程中,扰动步长ΔD的值对最大功率点控制的影响较大:当ΔD较大时,输出功率会在最大功率点附近具有较大的震荡现象;当△D较小时,系统对最大功率点跟踪较慢。
4.2 扰动观察法与遗传算法结合
遗传算法使用概率搜索技术,因此在恶劣环境中,它仍能准确搜索到最大功率点,但这也决定了它不可能使系统稳定工作于最大功率点。为了解决这个问题,本文引入扰动观察法与遗传算法双模控制。当最大功率点变化较小时,由小步长扰动观察法追踪最大功率点。
4.3 遗传算法重启时种群初始化
当外界环境变化不大时,新环境下的最大功率点与旧环境相差不大。此时,旧环境的最大功率点可以作为精英个体保留下来,直接进入下一轮搜索。
4.4 算法流程图
该算法的流程图如图3所示。
5 仿真结果
5.1 遗传算法的进化过程
设定MAXGEN=50,Pc=0.9,Nind=20,染色体长度为16,Pmean=0.1,Pmax=0.2,T=25℃,S=800 W/m2,仿真结果如图4所示。
由图4可见,算法在第五代时就已经搜索到最大功率点,并且搜索过程中每代种群始终保持较大的多样性。
5.2 稳定光强下的阶跃响应
设定MAXGEN=15,Cmax=2 500,△Pmax=40,△D=0.000 01,Pc=0.9,种群个体数Nind=20,染色体长度为16,Pmean=0.1,Pmax=0.2,T=25℃。考查算法对光强从200~800 W/m2的阶跃响应,仿真结果见图5。
由图5可见,该算法具有良好的搜索速度和稳定性。为了提高搜索速度还可以减小遗传算法执行时间,在接近最大功率点时由扰动观察法来执行搜索。
5.3 光强剧烈变化下的阶跃响应
在光强上叠加一个幅度为5 W/m2的随机噪声,参数设置与第5.2节相同,对算法进行仿真,仿真结果见图6。
由图6可见,该算法具有良好的抗干扰性能,在剧烈干扰下仍然可以准确搜索到最大功率点。
6 结 语
在此把遗传算法和传统的扰动观察法相结合提出了一种新的MPPT算法,并在Matlab中进行了仿真。由仿真实验可以看出,通过遗传算法的应用,该算法具有极好的抗干扰能力和良好的搜索速度,通过减小扰动观察法的扰动步长,算法可以稳定地工作在最大功率点。
欢迎分享,转载请注明来源:内存溢出
微信扫一扫
支付宝扫一扫
评论列表(0条)